Data
301,251 items of data are available, covering 108,714 participants.
Defined-instances run from 0 to 1, labelled using Instancing
2.
Array indices run from 0 to 5.
Units of measurement are diopters.
| Maximum | 0 |
| Decile 9 | -0.24 |
| Decile 8 | -0.36 |
| Decile 7 | -0.47 |
| Decile 6 | -0.58 |
| Median | -0.69 |
| Decile 4 | -0.81 |
| Decile 3 | -0.97 |
| Decile 2 | -1.19 |
| Decile 1 | -1.57 |
| Minimum | -24.36 |
|
|
- Mean = -0.841211
- Std.dev = 0.67089
- 4707 items below graph minimum of -2.9
|
2 Instances
Instance 0 : Initial assessment visit (2006-2010) at which participants were recruited and consent given
95,966 participants, 258,859 items
| Maximum | 0 |
| Decile 9 | -0.24 |
| Decile 8 | -0.36 |
| Decile 7 | -0.47 |
| Decile 6 | -0.58 |
| Median | -0.69 |
| Decile 4 | -0.81 |
| Decile 3 | -0.97 |
| Decile 2 | -1.19 |
| Decile 1 | -1.57 |
| Minimum | -23.42 |
|
|
- Mean = -0.84212
- Std.dev = 0.674027
- 4072 items below graph minimum of -2.9
|
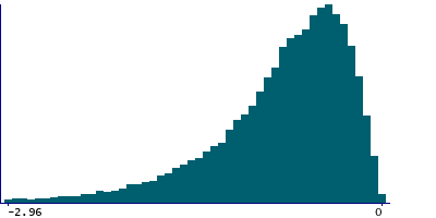
Instance 1 : First repeat assessment visit (2012-13)
15,779 participants, 42,392 items
| Maximum | 0 |
| Decile 9 | -0.24 |
| Decile 8 | -0.35 |
| Decile 7 | -0.46 |
| Decile 6 | -0.57 |
| Median | -0.69 |
| Decile 4 | -0.81 |
| Decile 3 | -0.97 |
| Decile 2 | -1.2 |
| Decile 1 | -1.6 |
| Minimum | -24.36 |
|
|
- Mean = -0.835661
- Std.dev = 0.651375
- 566 items below graph minimum of -2.96
|
Notes
This is the cylindrical power of keratometry results taken at 6mm for the right eye (0 indicates none)
1 Related Data-Field
| Field ID | Description | Relationship |
| 5118 | 6mm cylindrical power (left) | Field 5118 is the opposite-side complement to Current Field |