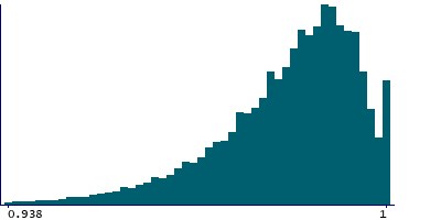
| Description: | Fraction acceleration <= 200 milli-gravities |
| Category: | Additional exposures ⏵ Physical activity measurement ⏵ Acceleration intensity distribution |
| Physical measures |
| Participants | 103,567 | Value Type | Continuous, Fraction | Sexed | Both sexes | Debut | Nov 2015 | |||
| Item count | 103,567 | Item Type | Data | Instances | Singular | Version | Feb 2016 | |||
| Stability | Accruing | Strata | Derived | Array | No | Cost Tier | o1 s1 |
