Data
306,671 items of data are available, covering 107,579 participants.
Defined-instances run from 0 to 1, labelled using Instancing
2.
Array indices run from 0 to 5.
Units of measurement are diopters.
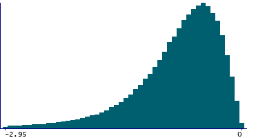
| Maximum | 0 |
| Decile 9 | -0.25 |
| Decile 8 | -0.37 |
| Decile 7 | -0.48 |
| Decile 6 | -0.59 |
| Median | -0.7 |
| Decile 4 | -0.83 |
| Decile 3 | -0.99 |
| Decile 2 | -1.21 |
| Decile 1 | -1.6 |
| Minimum | -23.73 |
|
|
- Mean = -0.855217
- Std.dev = 0.665272
- 4933 items below graph minimum of -2.95
|
2 Instances
Instance 0 : Initial assessment visit (2006-2010) at which participants were recruited and consent given
95,197 participants, 264,136 items
| Maximum | 0 |
| Decile 9 | -0.25 |
| Decile 8 | -0.37 |
| Decile 7 | -0.48 |
| Decile 6 | -0.59 |
| Median | -0.7 |
| Decile 4 | -0.83 |
| Decile 3 | -0.99 |
| Decile 2 | -1.21 |
| Decile 1 | -1.6 |
| Minimum | -23.73 |
|
|
- Mean = -0.855387
- Std.dev = 0.666613
- 4280 items below graph minimum of -2.95
|
Instance 1 : First repeat assessment visit (2012-13)
15,301 participants, 42,535 items
| Maximum | 0 |
| Decile 9 | -0.24 |
| Decile 8 | -0.37 |
| Decile 7 | -0.48 |
| Decile 6 | -0.58 |
| Median | -0.7 |
| Decile 4 | -0.83 |
| Decile 3 | -0.99 |
| Decile 2 | -1.22 |
| Decile 1 | -1.62 |
| Minimum | -9.61 |
|
|
- Mean = -0.854162
- Std.dev = 0.656882
- 607 items below graph minimum of -3
|
Notes
This is the cylindrical power of keratometry results taken at 6mm for the left eye (0 indicates none)
1 Related Data-Field
| Field ID | Description | Relationship |
| 5117 | 6mm cylindrical power (right) | Current Field is the opposite-side complement to Field 5117 |