Data
367,588 items of data are available, covering 124,387 participants.
Defined-instances run from 0 to 1, labelled using Instancing
2.
Array indices run from 0 to 5.
Units of measurement are diopters.
| Maximum | 0 |
| Decile 9 | -0.26 |
| Decile 8 | -0.38 |
| Decile 7 | -0.49 |
| Decile 6 | -0.6 |
| Median | -0.72 |
| Decile 4 | -0.85 |
| Decile 3 | -1.01 |
| Decile 2 | -1.22 |
| Decile 1 | -1.6 |
| Minimum | -13.37 |
|
|
- Mean = -0.865051
- Std.dev = 0.657206
- 5487 items below graph minimum of -2.94
|
2 Instances
Instance 0 : Initial assessment visit (2006-2010) at which participants were recruited and consent given
109,783 participants, 315,119 items
| Maximum | 0 |
| Decile 9 | -0.26 |
| Decile 8 | -0.38 |
| Decile 7 | -0.49 |
| Decile 6 | -0.6 |
| Median | -0.72 |
| Decile 4 | -0.85 |
| Decile 3 | -1.01 |
| Decile 2 | -1.22 |
| Decile 1 | -1.6 |
| Minimum | -13.37 |
|
|
- Mean = -0.866318
- Std.dev = 0.66004
- 4783 items below graph minimum of -2.94
|
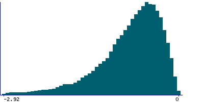
Instance 1 : First repeat assessment visit (2012-13)
18,432 participants, 52,469 items
| Maximum | 0 |
| Decile 9 | -0.26 |
| Decile 8 | -0.38 |
| Decile 7 | -0.49 |
| Decile 6 | -0.6 |
| Median | -0.71 |
| Decile 4 | -0.85 |
| Decile 3 | -1 |
| Decile 2 | -1.21 |
| Decile 1 | -1.59 |
| Minimum | -12.23 |
|
|
- Mean = -0.857442
- Std.dev = 0.639865
- 718 items below graph minimum of -2.92
|
Notes
This is the cylindrical power of keratometry results taken at 3mm for the right eye (0 indicates none)
1 Related Data-Field
| Field ID | Description | Relationship |
| 5119 | 3mm cylindrical power (left) | Field 5119 is the opposite-side complement to Current Field |