Data-Field 24652
This information is regarded as restricted and will be supplied to researchers only when absolutely necessary.
See the Related Data-Fields tab below for any unrestricted alternatives.
Data
23,454 items of data are available, covering 23,161 participants.
Defined-instances run from 2 to 3, labelled using Instancing
2.
Units of measurement are percent.
| Maximum | 4.9936 |
| Decile 9 | 0.0013 |
| Decile 8 | 0.0003 |
| Decile 7 | 0.0001 |
| Decile 6 | 0.0001 |
| Median | 0 |
| Decile 4 | 0 |
| Decile 3 | 0 |
| Decile 2 | 0 |
| Decile 1 | 0 |
| Minimum | 0 |
|
|
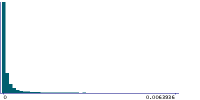
- Mean = 0.00483975
- Std.dev = 0.0654503
- 1099 items above graph maximum of 0.0062936
|
2 Instances
Instance 2 : Imaging visit (2014+)
18,344 participants, 18,344 items
| Maximum | 4.9936 |
| Decile 9 | 0.0014 |
| Decile 8 | 0.0003 |
| Decile 7 | 0.0001 |
| Decile 6 | 0.0001 |
| Median | 0 |
| Decile 4 | 0 |
| Decile 3 | 0 |
| Decile 2 | 0 |
| Decile 1 | 0 |
| Minimum | 0 |
|
|
- Mean = 0.00504218
- Std.dev = 0.0692995
- 855 items above graph maximum of 0.0063936
|
Instance 3 : First repeat imaging visit (2019+)
5,110 participants, 5,110 items
| Maximum | 2.3318 |
| Decile 9 | 0.0011 |
| Decile 8 | 0.0003 |
| Decile 7 | 0.0001 |
| Decile 6 | 0.0001 |
| Median | 0 |
| Decile 4 | 0 |
| Decile 3 | 0 |
| Decile 2 | 0 |
| Decile 1 | 0 |
| Minimum | 0 |
|
|
- Mean = 0.00411307
- Std.dev = 0.0492042
- 300 items above graph maximum of 0.0034318
|
Notes
Number of ventricular ectopic (VE) couplets divided by overall number of QRS complexes.
0 Related Data-Fields
There are no related data-fields
0 Resources
There are no matching Resources