Data
45,449 items of data are available, covering 45,449 participants.
Defined-instances run from 2 to 2, labelled using Instancing
2.
Units of measurement are arbitrary units.
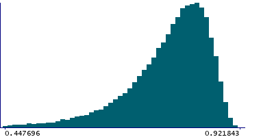
| Maximum | 0.921843 |
| Decile 9 | 0.862329 |
| Decile 8 | 0.844073 |
| Decile 7 | 0.827762 |
| Decile 6 | 0.811128 |
| Median | 0.793616 |
| Decile 4 | 0.773464 |
| Decile 3 | 0.748603 |
| Decile 2 | 0.714731 |
| Decile 1 | 0.655013 |
| Minimum | 0 |
|
|
- Mean = 0.767824
- Std.dev = 0.111267
- 809 items below graph minimum of 0.447696
|
Notes
The predicted dice similarity coefficient (DSC) is an estimate of segmentation quality, where 0 is awful and 1 is perfect and is an indication of the uncertainty of the result of the mean estimate of the area of pericardial fat in
Field 31085. See the associated publication by Bard et al, doi: 10.3389/fcvm.2021.677574
0 Related Data-Fields
There are no related data-fields
0 Resources
There are no matching Resources