Data
71,406 items of data are available, covering 67,545 participants.
Defined-instances run from 2 to 3, labelled using Instancing
2.
Units of measurement are timepoints.
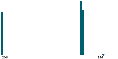
| Maximum | 366 |
| Decile 9 | 332 |
| Decile 8 | 332 |
| Decile 7 | 332 |
| Decile 6 | 332 |
| Median | 332 |
| Decile 4 | 332 |
| Decile 3 | 208 |
| Decile 2 | 208 |
| Decile 1 | 208 |
| Minimum | 208 |
|
|
- There are 3 distinct values.
- Mean = 294.753
- Std.dev = 57.1723
|
2 Instances
Instance 2 : Imaging visit (2014+)
67,122 participants, 67,122 items
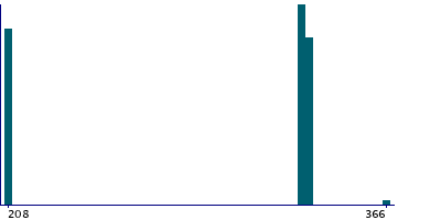
| Maximum | 366 |
| Decile 9 | 332 |
| Decile 8 | 332 |
| Decile 7 | 332 |
| Decile 6 | 332 |
| Median | 332 |
| Decile 4 | 332 |
| Decile 3 | 208 |
| Decile 2 | 208 |
| Decile 1 | 208 |
| Minimum | 208 |
|
|
- There are 3 distinct values.
- Mean = 292.376
- Std.dev = 58.1643
|
Instance 3 : First repeat imaging visit (2019+)
4,284 participants, 4,284 items
Too few values for statistical summary.
Notes
Number of timepoints for the task fMRI. This corresponds to the number of image volumes collected during the acquisition.
0 Related Data-Fields
There are no related data-fields
0 Resources
There are no matching Resources