Data
83,911 items of data are available, covering 79,384 participants.
Defined-instances run from 2 to 3, labelled using Instancing
2.
Units of measurement are AU.
| Maximum | 0.959404 |
| Decile 9 | 0.930845 |
| Decile 8 | 0.922309 |
| Decile 7 | 0.915031 |
| Decile 6 | 0.907833 |
| Median | 0.900111 |
| Decile 4 | 0.891331 |
| Decile 3 | 0.8803 |
| Decile 2 | 0.864693 |
| Decile 1 | 0.837717 |
| Minimum | 0.073349 |
|
|
- Mean = 0.890395
- Std.dev = 0.0424292
- 719 items below graph minimum of 0.74459
|
2 Instances
Instance 2 : Imaging visit (2014+)
79,153 participants, 79,153 items
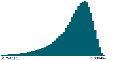
| Maximum | 0.959404 |
| Decile 9 | 0.930735 |
| Decile 8 | 0.922171 |
| Decile 7 | 0.914853 |
| Decile 6 | 0.907636 |
| Median | 0.89986 |
| Decile 4 | 0.890973 |
| Decile 3 | 0.87985 |
| Decile 2 | 0.864089 |
| Decile 1 | 0.836928 |
| Minimum | 0.073349 |
|
|
- Mean = 0.890036
- Std.dev = 0.0425798
- 671 items below graph minimum of 0.743121
|
Instance 3 : First repeat imaging visit (2019+)
4,758 participants, 4,758 items
| Maximum | 0.956361 |
| Decile 9 | 0.932449 |
| Decile 8 | 0.924506 |
| Decile 7 | 0.917898 |
| Decile 6 | 0.911028 |
| Median | 0.90405 |
| Decile 4 | 0.89661 |
| Decile 3 | 0.886999 |
| Decile 2 | 0.874486 |
| Decile 1 | 0.852712 |
| Minimum | 0.134985 |
|
|
- Mean = 0.896352
- Std.dev = 0.0393648
- 51 items below graph minimum of 0.772974
|
Notes
Mean MO (diffusion tensor mode) in body of corpus callosum on FA (fractional anisotropy) skeleton (from dMRI data)
0 Related Data-Fields
There are no related data-fields
2 Applications
| Application ID | Title |
| 17689 | Genetic, environmental and lifestyle predictors of brain/cognitive-related outcomes. |
| 22783 | The joint analysis of imaging data and genetic data for early tumor detection, prevention, diagnosis and treatment |