Data-Field 24651
This information is regarded as restricted and will be supplied to researchers only when absolutely necessary.
See the Related Data-Fields tab below for any unrestricted alternatives.
Data
23,454 items of data are available, covering 23,161 participants.
Defined-instances run from 2 to 3, labelled using Instancing
2.
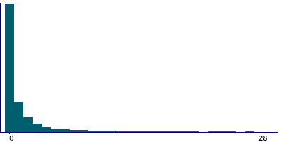
| Maximum | 55448 |
| Decile 9 | 14 |
| Decile 8 | 3 |
| Decile 7 | 1 |
| Decile 6 | 1 |
| Median | 0 |
| Decile 4 | 0 |
| Decile 3 | 0 |
| Decile 2 | 0 |
| Decile 1 | 0 |
| Minimum | 0 |
|
|
- There are 670 distinct values.
- Mean = 51.6937
- Std.dev = 706.121
- 1645 items above graph maximum of 28
|
2 Instances
Instance 2 : Imaging visit (2014+)
18,344 participants, 18,344 items
| Maximum | 55448 |
| Decile 9 | 14 |
| Decile 8 | 3 |
| Decile 7 | 1 |
| Decile 6 | 1 |
| Median | 0 |
| Decile 4 | 0 |
| Decile 3 | 0 |
| Decile 2 | 0 |
| Decile 1 | 0 |
| Minimum | 0 |
|
|
- There are 574 distinct values.
- Mean = 53.8399
- Std.dev = 758.77
- 1299 items above graph maximum of 28
|
Instance 3 : First repeat imaging visit (2019+)
5,110 participants, 5,110 items
| Maximum | 21657 |
| Decile 9 | 12 |
| Decile 8 | 3 |
| Decile 7 | 1 |
| Decile 6 | 1 |
| Median | 0 |
| Decile 4 | 0 |
| Decile 3 | 0 |
| Decile 2 | 0 |
| Decile 1 | 0 |
| Minimum | 0 |
|
|
- There are 249 distinct values.
- Mean = 43.989
- Std.dev = 470.813
- 370 items above graph maximum of 24
|
Notes
Total count of ventricular ectopic (VE) couplets detected.
0 Related Data-Fields
There are no related data-fields
0 Resources
There are no matching Resources