Data-Field 24647
This information is regarded as restricted and will be supplied to researchers only when absolutely necessary.
See the Related Data-Fields tab below for any unrestricted alternatives.
Data
23,454 items of data are available, covering 23,161 participants.
Defined-instances run from 2 to 3, labelled using Instancing
2.
| Maximum | 207668 |
| Decile 9 | 7211.5 |
| Decile 8 | 2193 |
| Decile 7 | 796 |
| Decile 6 | 296.5 |
| Median | 106 |
| Decile 4 | 39 |
| Decile 3 | 14 |
| Decile 2 | 5 |
| Decile 1 | 1 |
| Minimum | 0 |
|
|
- There are 5962 distinct values.
- Mean = 3394.61
- Std.dev = 11964
- 1357 items above graph maximum of 14422
|
2 Instances
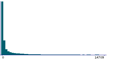
Instance 2 : Imaging visit (2014+)
18,344 participants, 18,344 items
| Maximum | 207668 |
| Decile 9 | 7355 |
| Decile 8 | 2297 |
| Decile 7 | 843 |
| Decile 6 | 313.5 |
| Median | 110 |
| Decile 4 | 40 |
| Decile 3 | 15 |
| Decile 2 | 5 |
| Decile 1 | 1 |
| Minimum | 0 |
|
|
- There are 5113 distinct values.
- Mean = 3414.49
- Std.dev = 11923
- 1048 items above graph maximum of 14709
|
Instance 3 : First repeat imaging visit (2019+)
5,110 participants, 5,110 items
| Maximum | 192306 |
| Decile 9 | 6556 |
| Decile 8 | 1802 |
| Decile 7 | 677 |
| Decile 6 | 249 |
| Median | 93 |
| Decile 4 | 35 |
| Decile 3 | 13 |
| Decile 2 | 5 |
| Decile 1 | 1 |
| Minimum | 0 |
|
|
- There are 1931 distinct values.
- Mean = 3323.24
- Std.dev = 12109.6
- 317 items above graph maximum of 13111
|
Notes
Total count of detected isolated ventricular ectopic beats (VEs).
0 Related Data-Fields
There are no related data-fields
0 Resources
There are no matching Resources