Data
9,960 items of data are available, covering 9,683 participants.
Defined-instances run from 0 to 1, labelled using Instancing
2.
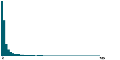
| Maximum | 10384 |
| Decile 9 | 395 |
| Decile 8 | 94 |
| Decile 7 | 38 |
| Decile 6 | 20 |
| Median | 12 |
| Decile 4 | 8 |
| Decile 3 | 4 |
| Decile 2 | 1 |
| Decile 1 | 1 |
| Minimum | 1 |
|
|
- There are 1169 distinct values.
- Mean = 187.192
- Std.dev = 637.126
- 622 items above graph maximum of 789
|
2 Instances
Instance 0 : Initial assessment visit (2006-2010) at which participants were recruited and consent given
9,423 participants, 9,423 items
| Maximum | 9685 |
| Decile 9 | 405 |
| Decile 8 | 95 |
| Decile 7 | 38 |
| Decile 6 | 21 |
| Median | 12 |
| Decile 4 | 8 |
| Decile 3 | 4 |
| Decile 2 | 1 |
| Decile 1 | 1 |
| Minimum | 1 |
|
|
- There are 1146 distinct values.
- Mean = 188.153
- Std.dev = 631.578
- 589 items above graph maximum of 809
|
Instance 1 : First repeat assessment visit (2012-13)
537 participants, 537 items
| Maximum | 10384 |
| Decile 9 | 220.5 |
| Decile 8 | 74 |
| Decile 7 | 29.5 |
| Decile 6 | 18 |
| Median | 11 |
| Decile 4 | 7 |
| Decile 3 | 4 |
| Decile 2 | 1 |
| Decile 1 | 1 |
| Minimum | 1 |
|
|
- There are 160 distinct values.
- Mean = 170.313
- Std.dev = 727.414
- 36 items above graph maximum of 440
|
Notes
Measured level of tarp-D F1 antigen for C. trachomatis (Chlamydia trachomatis).
0 Related Data-Fields
There are no related data-fields
0 Resources
There are no matching Resources
1 Application
| Application ID | Title |
| 45925 | Risk Factors, Biomarkers and Impact of Major Vision-Threatening Eye Diseases |