Data
9,960 items of data are available, covering 9,683 participants.
Defined-instances run from 0 to 1, labelled using Instancing
2.
| Maximum | 11715 |
| Decile 9 | 350 |
| Decile 8 | 122 |
| Decile 7 | 61 |
| Decile 6 | 33 |
| Median | 21 |
| Decile 4 | 14 |
| Decile 3 | 8 |
| Decile 2 | 4 |
| Decile 1 | 1 |
| Minimum | 1 |
|
|
- There are 1039 distinct values.
- Mean = 149.431
- Std.dev = 460.437
- 515 items above graph maximum of 699
|
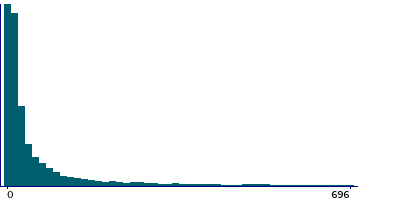
2 Instances
Instance 0 : Initial assessment visit (2006-2010) at which participants were recruited and consent given
9,423 participants, 9,423 items
| Maximum | 11715 |
| Decile 9 | 348.5 |
| Decile 8 | 122 |
| Decile 7 | 61 |
| Decile 6 | 33 |
| Median | 21 |
| Decile 4 | 14 |
| Decile 3 | 8 |
| Decile 2 | 4 |
| Decile 1 | 1 |
| Minimum | 1 |
|
|
- There are 1006 distinct values.
- Mean = 149.639
- Std.dev = 463.331
- 490 items above graph maximum of 696
|
Instance 1 : First repeat assessment visit (2012-13)
537 participants, 537 items
| Maximum | 4272 |
| Decile 9 | 409 |
| Decile 8 | 106 |
| Decile 7 | 57.5 |
| Decile 6 | 33.5 |
| Median | 19.5 |
| Decile 4 | 13 |
| Decile 3 | 8 |
| Decile 2 | 5 |
| Decile 1 | 1 |
| Minimum | 1 |
|
|
- There are 186 distinct values.
- Mean = 145.79
- Std.dev = 406.299
- 23 items above graph maximum of 817
|
Notes
Measured level of p101 k antigen for HHV-6 (Human Herpesvirus-6).
0 Related Data-Fields
There are no related data-fields
0 Resources
There are no matching Resources
1 Application
| Application ID | Title |
| 45925 | Risk Factors, Biomarkers and Impact of Major Vision-Threatening Eye Diseases |